REGRESIÓN LINEAL
Según MathWorks, (s. f.). La regresión lineal es una técnica de modelado estadístico que se emplea para describir una variable de respuesta continua como una función de una o varias variables predictoras.
Las técnicas de regresión lineal permiten crear un modelo lineal. Este modelo describe la relación entre una variable dependiente "Y" (también conocida como la respuesta) como una función de una o varias variables independientes "Xi" (denominadas predictores). La ecuación general correspondiente a un modelo de regresión lineal es:
Y = βo + βo Xk + ϵi
donde β representa las estimaciones de parámetros lineales que se deben calcular y ϵ representa los términos de error.
TIPOS DE REGRESIÓN LINEAL
Regresión lineal simple:
Modelos que utilizan un único predictor. La ecuación general es:
Y = βo + β1 X + ϵ
Regresión lineal múltiple:
Modelos que utilizan múltiples predictores. Esta regresión tiene múltiples Xi para predecir la respuesta, Y. Este es un ejemplo de la ecuación:
Y = βo + β1 X1 + β2 X2 + ϵ
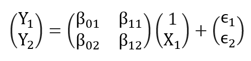
Regresión lineal multivariante:
Modelos para varias variables de respuesta. Esta regresión tiene múltiples Yi que derivan de los mismos datos X. Se expresan con fórmulas diferentes. Este es un ejemplo del sistema con 2 ecuaciones:
Y1 = β01 + β11 X1 + ϵ1
Y 2= β02 + β12 X2 + ϵ2

Regresión lineal múltiple multivariante:
modelos que utilizan varios predictores para múltiples variables de respuesta. Esta regresión tiene múltiples Xi para predecir varias respuestas Yi. Esta es una generalización de las ecuaciones:

Referencia bibliográfica:
MathWorks. (s. f.). ¿Qué es la regresión lineal? Recuperado 15 de mayo de 2025, de:
https://la.mathworks.com/discovery/linear-regression.html

